房间:化学楼122
负责人:靳瑜 联系电话:15565079791
本实验室依托平顶山市先进尼龙复合材料工程技术研究中心,主要有转矩流变仪和双螺杆挤出造粒系统两套设备,致力于高分子材料制备工艺研究、应用技术开发以及实践教学工作。其中,转矩流变仪设备可以测定待改性高分子材料的流变性能,也可以用于实验室级别高分子材料改性工艺探索;配方确定后可以使用双螺杆挤出造粒系统进行中试或者小批量生产,实现与工厂工业化生产无缝对接。
拟开展的工作主要包括:
①功能高分子材料合成与改性:聚合物合成、扩链、填充改性等。

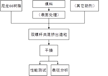
图1 双螺杆挤出改性工艺路线图
②聚酰胺专用功能母粒(试剂)开发:阻燃剂、快速成核剂、抑制成核剂、抗静电剂、导热母粒、耐低温母粒、耐磨减摩母粒、玻纤专用高效润滑剂等。
③聚酰胺材料表征与分析技术:分子量及其分布、疲劳性能分析等。
④聚酰胺废丝造粒新技术研究。
主要仪器
(1)双螺杆挤出造粒系统
主要特点:
用于热塑性聚合物的增强、配混等改性造粒,将聚合物原料与增强材料、填充物及添加剂等进行塑炼熔融混合,使其达到很好的分散效果,从而使原材料的性能达到相应提升和改变的目的。
主要技术参数:
①双螺杆挤出机:进口芯轴、传动箱、安全联轴器;比扭矩11.5 Nm/cm3;减速比2.5;螺杆外径27mm,外径内径比1.5;工艺单元机筒长度44D,单节机筒长度为4D;德国西门子风冷马达,功率22 kW,380V电压;螺杆最高转速600 r/min;螺纹元件及机筒使用全硬化热锻钢材质;机筒加热使用电加热棒设计,独立冷水机冷却;螺杆及机筒使用模块化设计,由11区组成。
②失重式喂料秤:1号喂料秤用添加树脂颗粒,产量10-100 kg/hr,精度0.5%;2号喂料秤用于添加粉末填料、短切玻璃纤维,产量5-50 kg/hr,精度0.5%。
③水槽:3×0.3 m。
④切粒机:5-100 kg/hr。

(2)转矩流变仪
主要特点:
可以用来研究热塑性材料的热稳定性、剪切稳定性、流动和塑化行为,广泛应用于橡塑和工程树脂的填充、共混、分散、改性、增强、氯化聚丙烯和高吸水性树脂的脱挥处理,还可以完成热固性材料的固化特性测试,能在类似实际加工过程中连续准确可靠地对体系的流变性能进行测定。
主要技术参数:
①主机控制系统:功率5.0 kW,电机转速3000 r/min,德国Neugart减速器,减速比1:15;动力输出转速0.1-200 r/min,控制精度0 0.05% F.S;悬臂式动态扭矩测量,量程0-240 Nm,精度0.1% F.S;动态温度控制精度:± 0.5°C,静态温度控制精度±0.1 °C,5路测温,其中4路控温;熔体压力测量量程0.1 ~ 100 MPa,精度0.5% F.S。
②可移动式双螺杆挤出平台:可拆卸组合式螺杆,同向旋转,直径20 mm,长径比40:1,槽深3.5 mm,渗氮钢材质,最高转速600 r/min,J型热电偶,动态温控精度≤± 1 °C,静态温控精度≤±0.1 °C,最高温度350 ℃,电加热方式,加热区8区,加热总功率:6.4 kW,压力范围0~100 MPa,体积喂料,喂料电机手动调节,真空排气,压缩空气冷却,产量:1-15 kg/hr。
③可移动式混炼平台:容积60 mLl;304 L不锈钢材质(进口);Roller型转子,材质3Cr13;转速比350 ℃,加热总功率1.7 kW;手动压料。
④水槽:不锈钢材质,储水量90L,最大扬程3 m,水泵循环,功率85 W,最大流量2800 L/h。


